SREDNJA ŠKOLA „IVO PADOVAN” BLATO
Sve o nama
Akademik Ivo Padovan
Vizija škole
Programi obrazovanja
Materijalni uvjeti rada
Kontakti
Tehničko osoblje
Organizacijsko-razvojna služba
Administrativno osoblje
Povijest škole
Nastavničko vijeće
Školski odbor
Roditeljsko vijeće
Učeničko vijeće
Nastavnici
Kurikularna reforma strukovnog obrazovanja
Tomislav Nadilo
Karolina Ocvirek
Filip Žanetić
Jelena Žuvela
Tea Protić
Tunjo Knežević
Franka Bosnić
Ana Dragojević
Kristina Žaknić
Teodor Šeparović
Vinko Rubeša
Jadranka Žuvela
Tončica Farac
Petrana Dovijanić
Marijana Nadilo
Ivana Biško
Marijana Vlatko
Marija Petković
Ante Žuvela
Nikola Curać
Perica Bačić
Borka Petković
Nela Žaknić
Valerija Biliš
Nenad Šeparović
Dalija Gavranić
Željko Petković
Maja Milostić
Najbolji rezultati
Sport u našoj Školi
Učenička zadruga „Iz bajula“
Natjecanja
Upisi
Natječaji
E-dnevnik
Kutak za roditelje
Maturanti
Projekti
Obrazovanje odraslih
Foto galerija
Školski akti
Protokol o kontroli ulaska i izlaska u školskim ustanovama
Protokol u hitnim situacijama
Godišnji plan i program rada
Statut, Odluke , Pravilnici
Financijska izvješća
Zakoni i pravilnici
Školska knjižnica
Javna nabava
Javna nabava 2026
Povezivanje razvodnog ormara R.O. s brojilom škole
Elektroinstalaterski radovi
Izmjena dotrajalih dijelova kotlovnice
Građevinski radovi na sanaciji dijela krovišta i izmjena 4 krovna prozora
Nabava računalne opreme
Javna nabava 2025
Javna nabav - 2024
Javna nabava-2023
Javna nabava 2022
Nabavka kidalice
Nabavka modularnog namještaja
Javna nabava 2021
Instalacija fotonaponske elektrane
Javna nabava 2020
Javna nabava 2019
Javna nabava 2018
Javna nabava 2017
Javna nabava 2016
Zaštita osobnih podataka
Pristup informacijama
Erasmus +
Erasmus + Praksom do izvrsnosti
Erasmus + Digital green
A Small Business Venture
From The Roofs To The Sky
Uči, istražuj, očuvaj
Odaberi Izoštri vještine, proširi horizonte
3D - STEM Lab
Državna matura
Vremenici
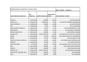
OBJAVA PODATAKA – KATEGORIJA 1 – svibanj 2024
Najava događanja
Trenutno nema najavljenih događanja
E-oglasna ploča škole
Raspored sati
Korisni linkovi
Virtualna šetnja školom
To je moja škola-Srednja škola „Ivo Padovan” Blato.
Ostali linkovi
Postani student
Suradnici u učenju
Priručnik za učenje
Priručnik za poučavanje
Pratite nas na našem Facebook profilu